

LB型防爆单梁起重机
产品型号:LB型
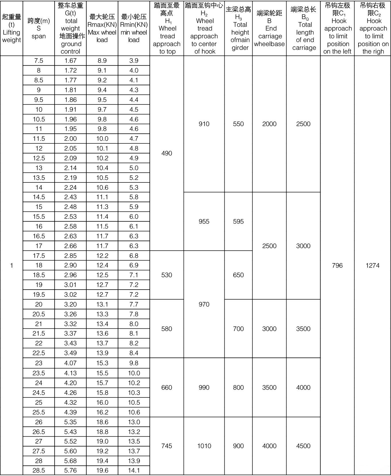
起升吨位:1-16吨
起升高度:6、9、12、18、24米
适用跨度:7.5-28.5米
工作级别:A3
LB型防爆单梁起重机产品介绍:
LB型防爆电动单梁起重机是根据GB3836.1-2000《爆炸性环境用电气设备》及GB3836.2-2000《爆炸性环境用电器设备隔爆型电器设备“d”》 在LD型单梁起重机的基础上设计而成。该单梁起重机与HB(BCD)、HBS(BMD)型防爆电动葫芦配套使用。工作级别A3-A5,工作环境-25~40℃,具有结构合理、外观美观、防爆性能强的特点。
防爆电动单梁起重机制造与检验符合
GB3836.1-2000《爆炸性气体环境用电气设备 第1部分:通用要求》
GB3836.2-2000《爆炸性气体环境用电气设备 第2部分:隔爆型“d”》
GB3836.3-2000《爆炸性气体环境用电气设备 第3部分:增安型“e”》
GB3836.4-2000《爆炸性气体环境用电气设备 第4部分:本质安*型“i”》
GB12476.1-2000 《可燃性粉尘环境用电气设备 第1部分:用外壳和限制表面温度保护的气体设备 第1节:电气设备的技术要求》
防爆单梁起重机产品应用:
防爆电动单梁起重机的防爆标志为ExdeibIICT4/DIP A21 TA,T4,可在防爆等级为IIB级、IIC级和粉尘环境中使用,广泛应用于军工、化工、洗煤厂、制药单位的工厂、仓储、料场等场所。
LB型防爆电动单梁起重机具有结构合理、外形美观、防爆性强等特点。本产品适用于有爆炸性气体的环境,不适应于有爆炸性粉尘的环境。工作环境-25-+40C。设有地面和司机室两种操作形式,司机室分为开式、闭式闭式两种,安装形式分为左、右、入门方向分侧面、端面,供用户根据各自的使用情况进行选择。




plant and equipment
Related products
18568169992
扫一扫 关注我们